[현열(감열)]
Q = m Cp △T : 현열
상태변화 X, 온도변화 O 사용된 열량
[잠열]
Q = mλ = -△H (λ : 잠열량, kJ/kg)
일정 T, P 다른 상으로 전이될 때 엔탈피 변화
순수한 물질이 상변화할 때, 온도변화는 없으나 주위로부터 물질로 이동하는 열
상변화에 수반되는 잠열은 T의 함수(F, 자유도=1)
기체가 응축하면서 잃는 열
융해열 : 80 cal/g, 증발열 : 539 cal/g(★암기)
승화열 = 융해열 + 증발열
(고↔기) (고↔액) (액↔기)
[잠열(△H)의 추산 방법]
① Trouton 법칙

② Clausius-Clapeyron식

③ Chen식
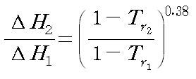
④ Watson식

④ Riedel식

더 자세한 자료들은 아래 링크에서 확인할 수 있습니다!
https://kmong.com/self-marketing/532464/LshUjjkdwP
화공직 공기업 요약본 - 열역학, 유체역학, 반응공학등 - 크몽
화공이 전문가의 자료·템플릿 서비스를 만나보세요. #구매 전 필독- 해당 교재는 전자책(PDF)로만 제공되며, 실물 책은 제공되지 않습니다....
kmong.com
'화공직 전공 > 열역학' 카테고리의 다른 글
| 비열, 고체의 비열(Dulong, Kopp 법칙) (0) | 2023.07.20 |
|---|---|
| [열역학] 닫힌계(폐쇄계), 열린계(개방계), 고립계 (0) | 2023.07.19 |
| [열역학] 열량(cal, Btu, CHU) 비교 (0) | 2023.07.17 |
| [열역학] 질량, 무게(N, kgf), 동력(HP, PS, kW), 기체 상수(R) (1) | 2023.07.16 |
| [열역학] 온도(℃, ℉, 절대온도), 압력(대기압,절대압,게이지압,진공도) (0) | 2023.07.15 |